上海制造业上市企业“双百强”:营收略有下滑,市值表现亮眼

截至2025年上半年底,上海制造业上市企业共250家,约占上市企业总数的56.7%。2025年上半年底,上海制造业上市企业市值总额为4.14万亿元,较2024年同期增长32.7%;制造业上市企业2024年实现营收总额3.14万亿元,同比下降2.5%。


上海营收百强:
总体规模略有收缩,千亿级企业扩容
2024年上海营收百强企业的营收规模略有下滑,榜单企业合计营收规模达29969亿元,较2023年下降2.7%。从规模分布来看,有7家企业营收规模在1000亿元以上,28家企业营收规模在100-1000亿元,21家企业营收规模在50-100亿元,44家营收规模在50亿元以下的企业。2024年,上海共有1家制造业上市企业营收跨越千亿门槛(华勤技术),2家制造业上市企业营收跨越百亿门槛(华峰铝业、紫江企业)。

图1 上海制造业上市企业营收百强企业的规模分布
从行业分布来看,电子信息、高端装备、先进材料、时尚消费品领域企业在营收百强榜中占据较多席位,分别有23、22、19、18家企业上榜;汽车、生命健康领域上榜企业相对较少,分别有10、8家企业上榜。其中,电子信息领域企业营收能力有所增强,新增3家营收百强企业(澜起科技、恒玄科技、上海贝岭),超八成百强企业2024年营收实现正增长。高端装备领域企业盈利能力有待提升,本期营收百强企业减少1家,约四成百强企业2024年营收有所下滑。先进材料领域上榜企业与上期持平,实现正增长的企业居多,其中,合成生物企业凯赛生物重回百强榜单,2024年营收增速达39.9%。时尚消费品领域上榜企业较上期减少1家,过半数百强企业的业绩有所下滑,头部企业金龙鱼、老凤祥、光明乳业业绩承压态势进一步凸显。汽车领域上榜企业减少1家,头部企业上汽集团营收从七千亿级收缩至六千亿级,营收同比下降15.4%。生命健康领域上榜企业较上期增加1家,为肿瘤药物研发企业艾力斯,头部企业上海医药2024年业绩保持稳健增长。从“三大先导产业”维度看,集成电路上榜企业数增至14家(新增澜起科技、恒玄科技、上海贝岭),生物医药领域上榜企业增加1家(艾力斯),人工智能领域上榜企业数量仍较少,只有1家企业上榜(科大智能)。

图2 上海制造业营收百强企业行业分布
从地域分布看,上海制造业营收百强企业主要分布在浦东新区,共有35家企业上榜,较上期增加1家。闵行、金山、松江分别有13、9、8家上榜企业,其中,闵行较上期减少2家上榜企业,松江较上期增加2家,金山上榜企业数量保持不变。奉贤、嘉定、青浦此次均有6家企业上榜,其中,青浦较上期减少2家企业,奉贤、嘉定上榜企业数量保持不变。徐汇、宝山、静安分别有4、3、3家企业上榜,其中,徐汇较上期增加2家企业,宝山、静安上榜企业数量保持不变。普陀、杨浦、虹口、黄浦分别有2、2、1、1家企业上榜,上榜企业数量与上期持平。长宁有1家企业上榜,较上期减少1家。

图3 上海制造业营收百强企业地域分布


上海市值百强:
总体规模增长三成,头部企业表现突出
2025年上半年底百强榜单企业市值规模合计为35065亿元,较2024年上半年底(27018亿元)增长29.8%。从规模分布来看,市值规模位于1000-5000亿元的有9家,较上期增加3家(中微公司、联影医疗、上海电气),榜首企业中芯国际本期市值超4000亿元,较上年同期增长127%;位于500-1000亿元的有8家,较上期减少2家;位于100-500亿元的有70家,较上期增加21家;位于100亿元以下的有13家,较上期减少22家。

图4 上海制造业上市企业市值百强企业的规模分布
从行业分布来看,上海制造业市值百强企业约三成集中在电子信息领域,本期共有33家上榜企业,在榜企业总市值规模明显提升,较去年同期增长56.0%,是市值增幅最高的细分领域。高端装备领域有17家企业上榜,较上期减少1家。先进材料领域有16家企业上榜,较上期增加2家,中洲特材、华峰超纤等多家上市企业市值成倍增长。生命健康领域有15家企业上榜,较上期增加1家,在榜企业市值规模总体增长18.2%。时尚消费品领域有11家上榜企业,较上期减少2家。汽车领域有8家企业上榜,上榜企业数量较上期保持不变。从“三大先导产业”维度看,集成电路、生物医药领域有较多高市值规模公司,分别有20、11家企业上榜市值百强,上榜市值百强的企业较上榜营收百强的企业数均更多;人工智能领域进入市值百强的企业数量虽和进入营收百强的相同,但企业排名更靠前,反映三大先导产业企业的市场关注度较高。

图5 上海制造业市值百强企业行业分布
从地域分布来看,市值百强的区域集中度较营收百强更高,上海制造业市值百强企业主要分布在浦东新区,有42家市值百强企业,上榜企业数量较去年增加2家。闵行、嘉定市值百强企业也较多,分别有11、8家市值百强企业,闵行上榜企业数量较上期保持不变,嘉定上榜企业增加2家。松江、金山、奉贤分别有7、7、5家企业上榜,松江、奉贤上榜企业数量不变,金山上榜企业较上期减少1家。徐汇、静安、青浦市值百强企业数量居中,分别有4、3、3家企业上榜,其中徐汇上榜企业较上期减少1家,青浦增加1家,静安上榜企业数量保持不变。长宁、宝山、虹口、普陀均有2家企业上榜,其中长宁上榜企业较上期减少2家,宝山减少1家,虹口、普陀上榜企业数量保持不变。杨浦、黄浦均有1家企业上榜,上榜企业数量保持不变。

图6 上海制造业市值百强企业地域分布
表5 上海制造业上市企业营收百强名单

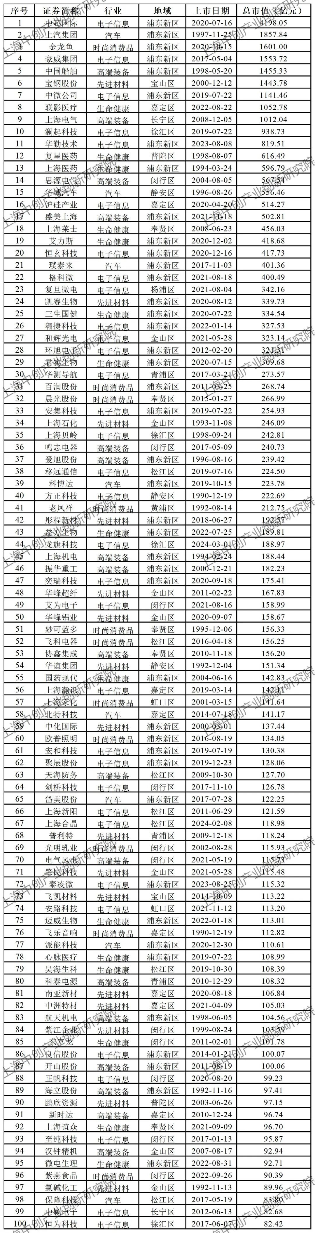
表6 上海制造业上市企业市值百强名单

